Fig. 3.

Download original image
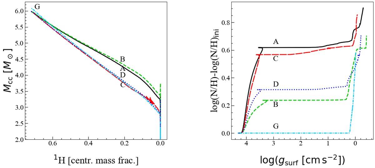
Central and surface properties of 15 M⊙ models. Left panel: mass of the convective core in solar mass as a function of the central mass fraction of hydrogen Xc in different 15 M⊙ models. Right panel: evolution of the surface abundance ratio N/H (normalized to its initial value and in logarithmic scale) as a function of log gsurf for the same models as presented in the left panel. In both panels, the letters have the same meaning as in Fig. 2.
Current usage metrics show cumulative count of Article Views (full-text article views including HTML views, PDF and ePub downloads, according to the available data) and Abstracts Views on Vision4Press platform.
Data correspond to usage on the plateform after 2015. The current usage metrics is available 48-96 hours after online publication and is updated daily on week days.
Initial download of the metrics may take a while.