Fig. 4.

Download original image
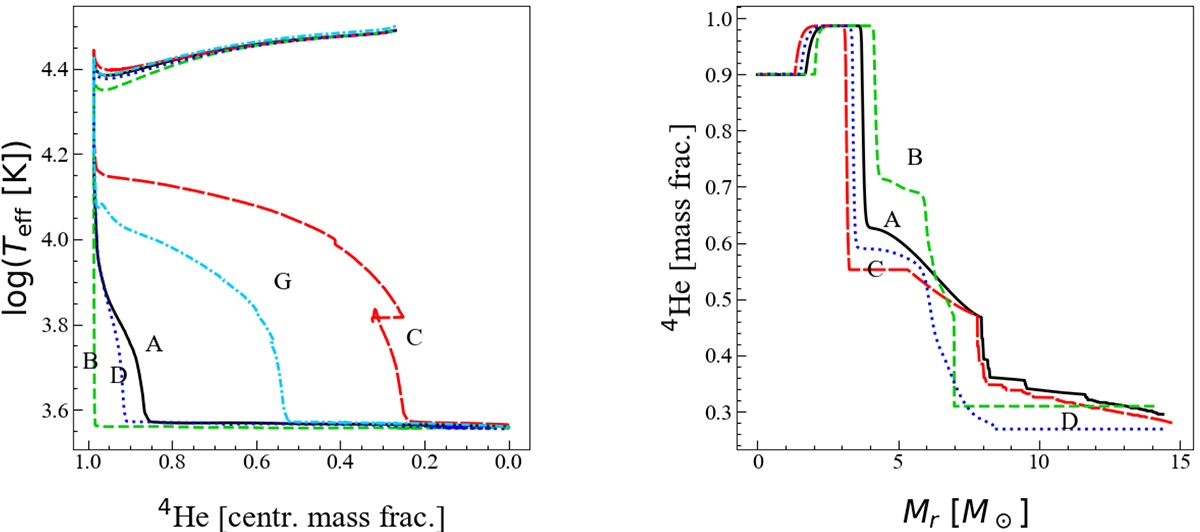
Change is physical parameters of M⊙ models with respect to changing helium fractions. Left panel: evolution of the effective temperature as a function of the central helium abundance for different 15 M⊙ models. Right panel: helium profile vs. the mass in different 15 M⊙ models when the central helium mass fraction is 0.90. In both panels, the letters have the same meaning as in Fig. 2.
Current usage metrics show cumulative count of Article Views (full-text article views including HTML views, PDF and ePub downloads, according to the available data) and Abstracts Views on Vision4Press platform.
Data correspond to usage on the plateform after 2015. The current usage metrics is available 48-96 hours after online publication and is updated daily on week days.
Initial download of the metrics may take a while.