Fig. 7.

Download original image
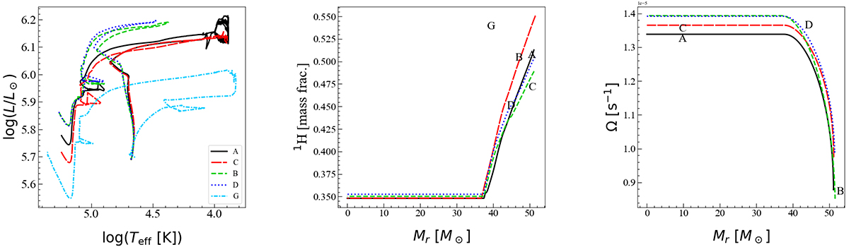
Evolution of physical parameters of 60 M⊙ models. Left panel: evolutionary tracks in the Hertzsprung-Russell diagram. Center panel: abundance of hydrogen ranging from the center to the outer envelope of the models at Xc = 0.35 vs. the Lagrangian mass coordinate and (right panel) the variation in angular velocity as a function of the Lagrangian mass coordinate in 60 M⊙ at Z = 0.014 and with Vini/Vcrit = 0.4. The letters A to G correspond to the models as described in Table 1.
Current usage metrics show cumulative count of Article Views (full-text article views including HTML views, PDF and ePub downloads, according to the available data) and Abstracts Views on Vision4Press platform.
Data correspond to usage on the plateform after 2015. The current usage metrics is available 48-96 hours after online publication and is updated daily on week days.
Initial download of the metrics may take a while.