Open Access

This article has an erratum: [https://doi.org/10.1051/0004-6361/202451799e]


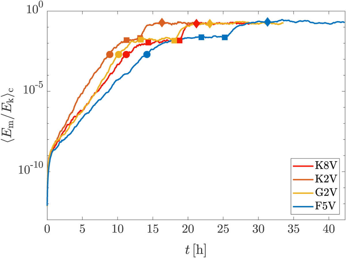
Fig. 1

image

Download original image

Temporal profiles of magnetic to kinetic energy ratios averaged over the convection zone of the four models K8V, K2V, G2V, and F5V. The round, square, and diamond markers denote phase 1, phase 2, and phase 3, respectively.

Current usage metrics show cumulative count of Article Views (full-text article views including HTML views, PDF and ePub downloads, according to the available data) and Abstracts Views on Vision4Press platform.

Data correspond to usage on the plateform after 2015. The current usage metrics is available 48-96 hours after online publication and is updated daily on week days.

Initial download of the metrics may take a while.