Open Access

This article has an erratum: [https://doi.org/10.1051/0004-6361/202451799e]


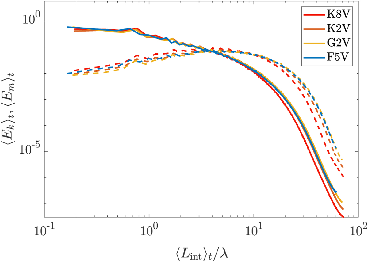
Fig. A.2

image

Download original image

Kinetic and magnetic energy spectra (solid and dashed lines, respectively) time averaged over the kinematic phase and normalized to their surface area for the four models K8V, K2V, G2V, and F5V. The x-axis is the wave number normalized to the integral length scale. It is also visible that the magnetic energy resides mostly at small scales, as expected for a SSD.

Current usage metrics show cumulative count of Article Views (full-text article views including HTML views, PDF and ePub downloads, according to the available data) and Abstracts Views on Vision4Press platform.

Data correspond to usage on the plateform after 2015. The current usage metrics is available 48-96 hours after online publication and is updated daily on week days.

Initial download of the metrics may take a while.