Open Access

This article has an erratum: [https://doi.org/10.1051/0004-6361/202451799e]


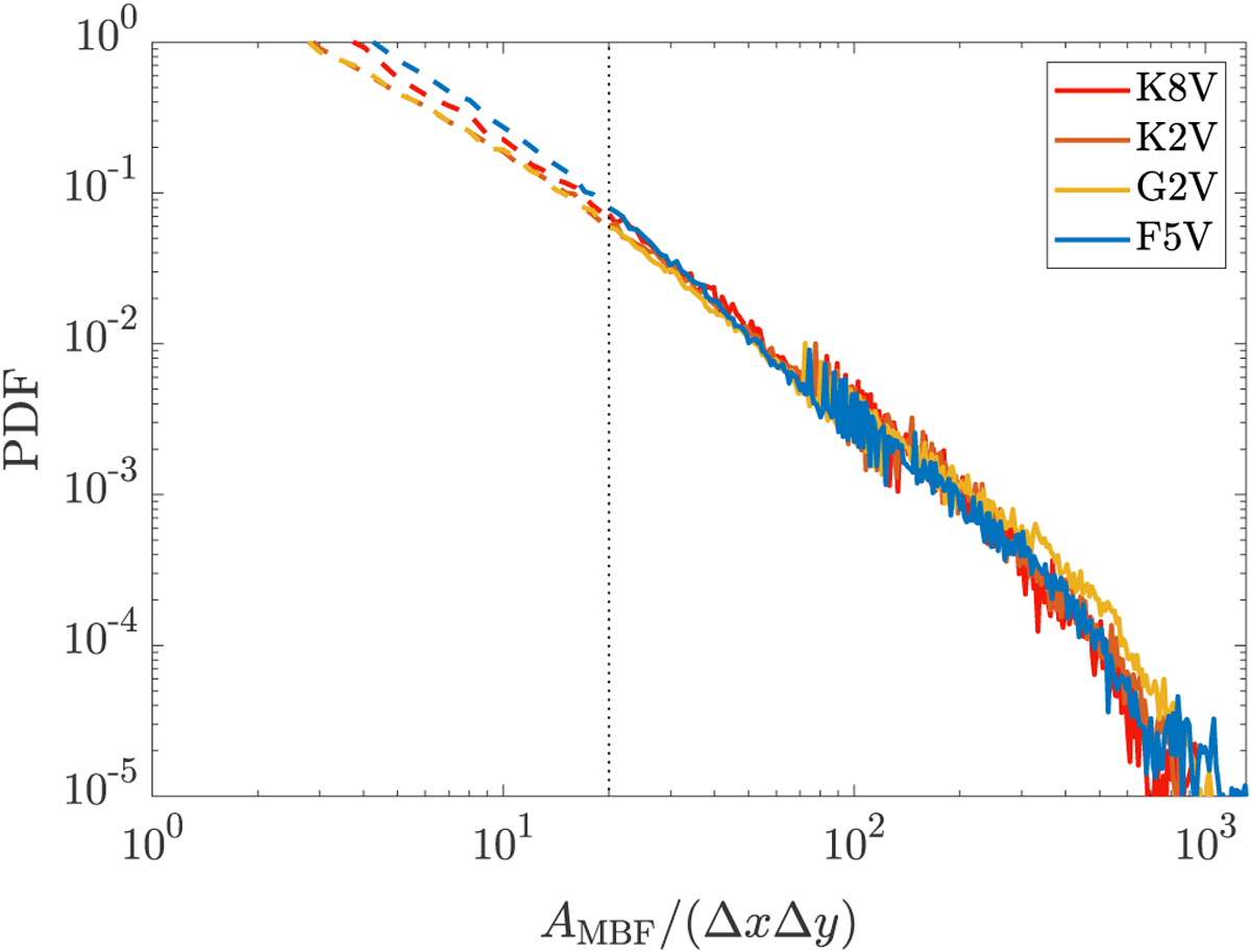
Fig. 8

image

Download original image

Probability density functions of MBF areas for the four models. The black dotted line denotes the 20-pixel threshold, below which MBFs are discarded. The dashed lines are the extension of the PDF as if small MBFs were retained.

Current usage metrics show cumulative count of Article Views (full-text article views including HTML views, PDF and ePub downloads, according to the available data) and Abstracts Views on Vision4Press platform.

Data correspond to usage on the plateform after 2015. The current usage metrics is available 48-96 hours after online publication and is updated daily on week days.

Initial download of the metrics may take a while.