Open Access

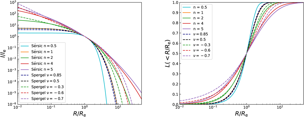
Fig. 1

image

Download original image

Comparison of surface density profiles (left) and the cumulative distributions (right) for Sérsic (solid lines) and Spergel (dashed lines) functions. The light profile with a Sérsic index of 0.5, 1, 2, 4, and 5 and a Spergel index of 0.85, 0.5, −0.3, −0.6, and −0.7 is shown in different colors. By definition, Re, contains half of the integrated galaxy light.

Current usage metrics show cumulative count of Article Views (full-text article views including HTML views, PDF and ePub downloads, according to the available data) and Abstracts Views on Vision4Press platform.

Data correspond to usage on the plateform after 2015. The current usage metrics is available 48-96 hours after online publication and is updated daily on week days.

Initial download of the metrics may take a while.