Fig. 5.

Download original image
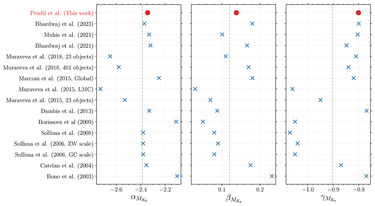
Comparison of coefficients for Ks-passband PMZ relation across different studies (marked with blue crosses, e.g., Bono et al. 2003; Sollima et al. 2006, 2008; Borissova et al. 2009; Dambis et al. 2013; Muraveva et al. 2015; Bhardwaj et al. 2021, 2023; Muhie et al. 2021). Coefficients derived in this work are marked with red points. The green dashed line represents the average of coefficients from previous studies.
Current usage metrics show cumulative count of Article Views (full-text article views including HTML views, PDF and ePub downloads, according to the available data) and Abstracts Views on Vision4Press platform.
Data correspond to usage on the plateform after 2015. The current usage metrics is available 48-96 hours after online publication and is updated daily on week days.
Initial download of the metrics may take a while.