Open Access

Fig. 15

image

Download original image

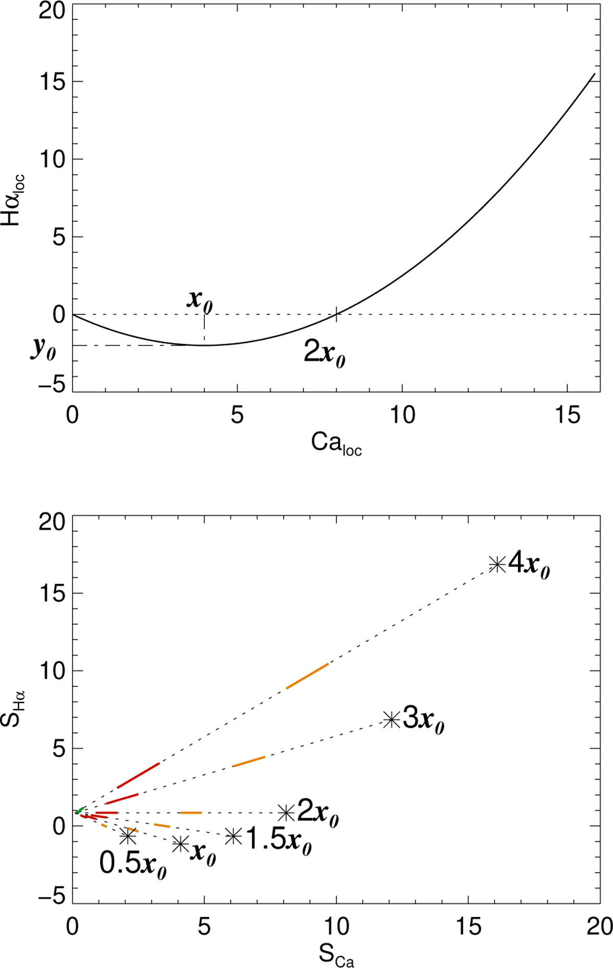
Illustration of the law from Eq. (3) (upper panel). The lower panel illustrates the range covered by S(t) versus SCa(t) for different Caloc (corresponding to different slopes) and different ff ranges: 0.5–0.6 (orange), 0.1–0.2 (red), and 0.01–0.02 (green), in a model with Caqs = 0. The black stars correspond to ff = 1.

Current usage metrics show cumulative count of Article Views (full-text article views including HTML views, PDF and ePub downloads, according to the available data) and Abstracts Views on Vision4Press platform.

Data correspond to usage on the plateform after 2015. The current usage metrics is available 48-96 hours after online publication and is updated daily on week days.

Initial download of the metrics may take a while.