Open Access

Fig. C.1

image

Download original image

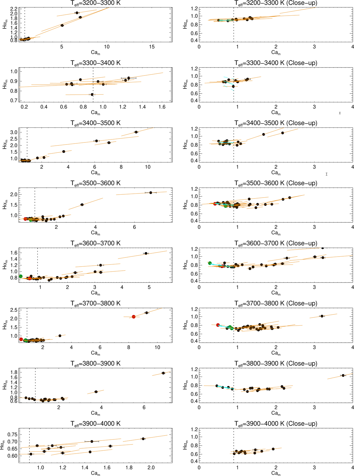
Relation between Hαm and Cam in different Teff bins (from top to bottom), for all stars (left panels) and without the most active stars (right panels). Circles in green and red correspond to stars with anticorrelation between indices (see Sect. 4, below −0.5 and −0.3 respectively). The orange straight lines correspond to the linear fit between indices for that star, plotted for the covered range in SCa(t).

Current usage metrics show cumulative count of Article Views (full-text article views including HTML views, PDF and ePub downloads, according to the available data) and Abstracts Views on Vision4Press platform.

Data correspond to usage on the plateform after 2015. The current usage metrics is available 48-96 hours after online publication and is updated daily on week days.

Initial download of the metrics may take a while.