Fig. 3

Download original image
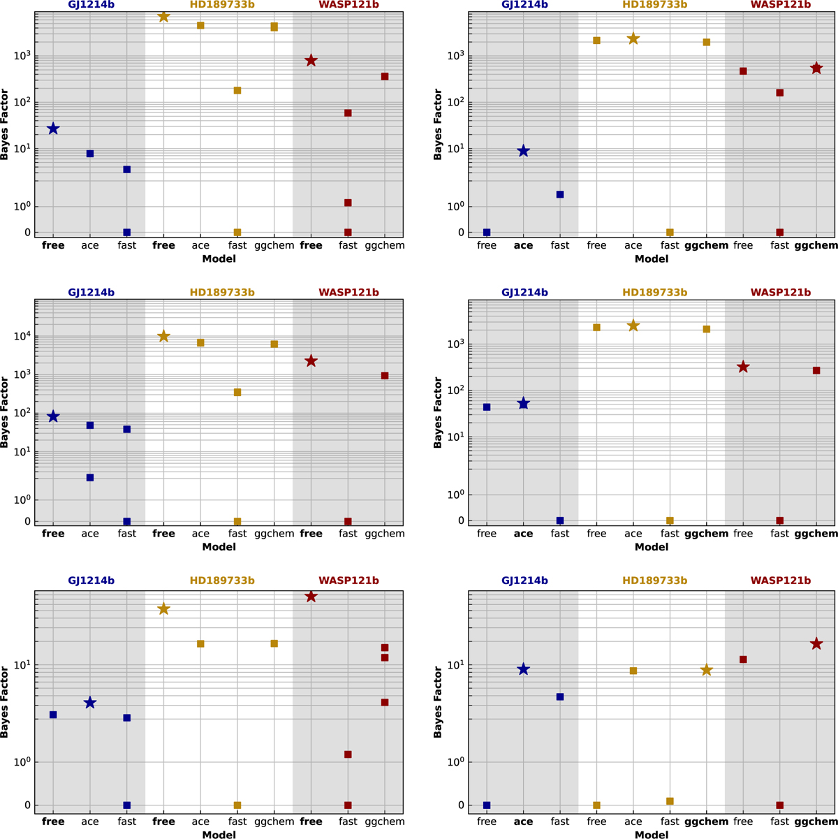
Bayes factors for each retrieval and all their solutions (Free, ACE, FastChem, and GGchem). By definition, 0 is the solution with the lowest Bayesian evidence as it is the reference of the comparison. Left panels: constant input chemistry. Right: equilibrium input chemistry. Top and middle: JWST simulated observation for a 1D and 3D atmospheric assumption, respectively. Bottom: Ariel simulated observation for a 3D atmospheric assumption. The star represents the highest Bayes factor. The expected best retrieval is highlighted in bold.
Current usage metrics show cumulative count of Article Views (full-text article views including HTML views, PDF and ePub downloads, according to the available data) and Abstracts Views on Vision4Press platform.
Data correspond to usage on the plateform after 2015. The current usage metrics is available 48-96 hours after online publication and is updated daily on week days.
Initial download of the metrics may take a while.