Open Access

Fig. 18

image

Download original image

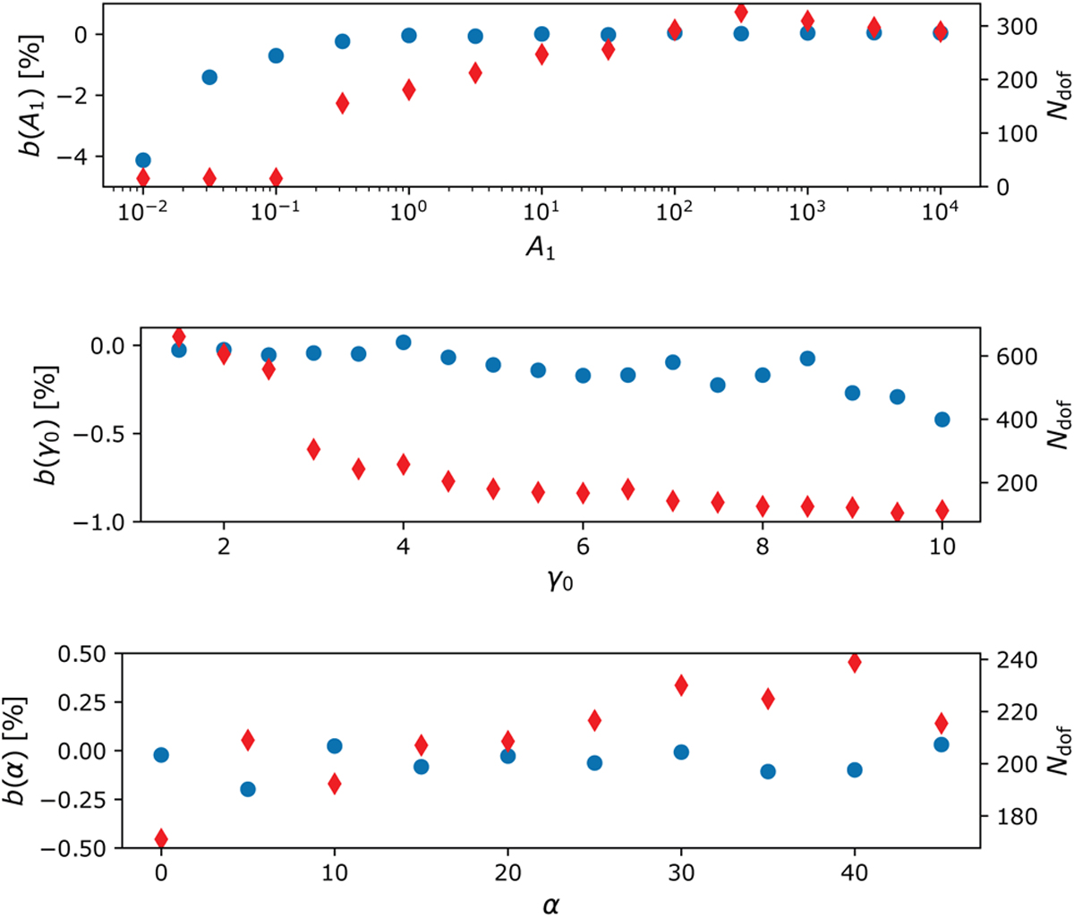
Extraction bias b (blue points) as a function of the S/N materialised by the amplitude A1 factor (top), of the PSF width γ0 (middle), and of the rotation angle α (bottom). For completeness, the effective number of degrees of freedom Ndof is represented with red diamonds for each simulation.

Current usage metrics show cumulative count of Article Views (full-text article views including HTML views, PDF and ePub downloads, according to the available data) and Abstracts Views on Vision4Press platform.

Data correspond to usage on the plateform after 2015. The current usage metrics is available 48-96 hours after online publication and is updated daily on week days.

Initial download of the metrics may take a while.