Open Access

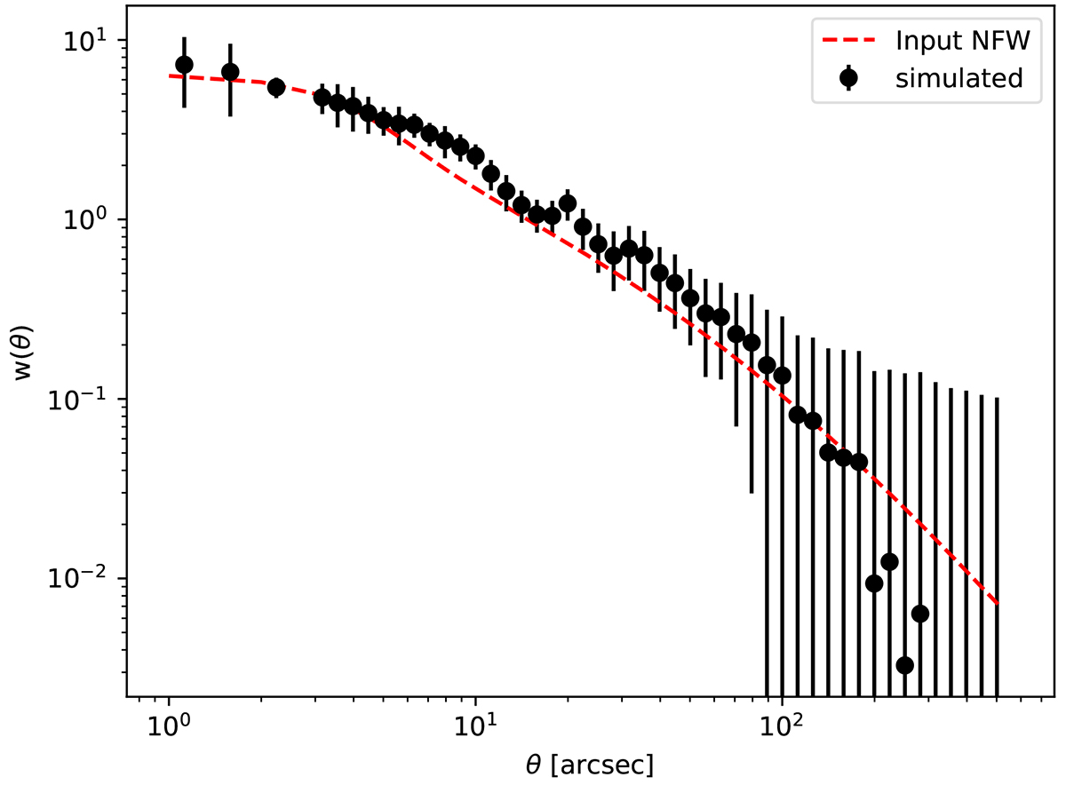
Fig. 8.

image

Download original image

Cross-correlation data (black dots) simulated with 50 000 lenses with of 1014M total mass. The redshift for all the lenses is z = 0.3 while it is z = 2.2 for all the background sources. The simulations adopt an NFW profile (dashed red line) with a smoothing of σ = 2.4 arcsec and a pixel size of 0.5 arcsec.

Current usage metrics show cumulative count of Article Views (full-text article views including HTML views, PDF and ePub downloads, according to the available data) and Abstracts Views on Vision4Press platform.

Data correspond to usage on the plateform after 2015. The current usage metrics is available 48-96 hours after online publication and is updated daily on week days.

Initial download of the metrics may take a while.