Fig. 3.

image

Download original image

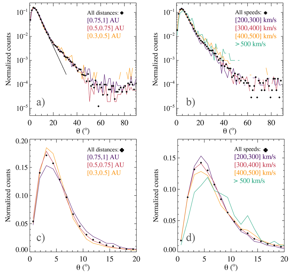
Histograms of propagation angle distribution as a function of heliocentric distance and solar wind speed. Panel a: Normalized histogram of the number of whistler waves as a function of the propagation angle for different heliocentric distances. Panel b: Normalized histogram of the number of whistler waves as a function of the propagation angle for different solar wind speeds. Panel c: Same as panel a zoomed between 0 and 20°. Panel d: Same as panel b zoomed between 0 and 20°.

Current usage metrics show cumulative count of Article Views (full-text article views including HTML views, PDF and ePub downloads, according to the available data) and Abstracts Views on Vision4Press platform.

Data correspond to usage on the plateform after 2015. The current usage metrics is available 48-96 hours after online publication and is updated daily on week days.

Initial download of the metrics may take a while.