Fig. 5.

image

Download original image

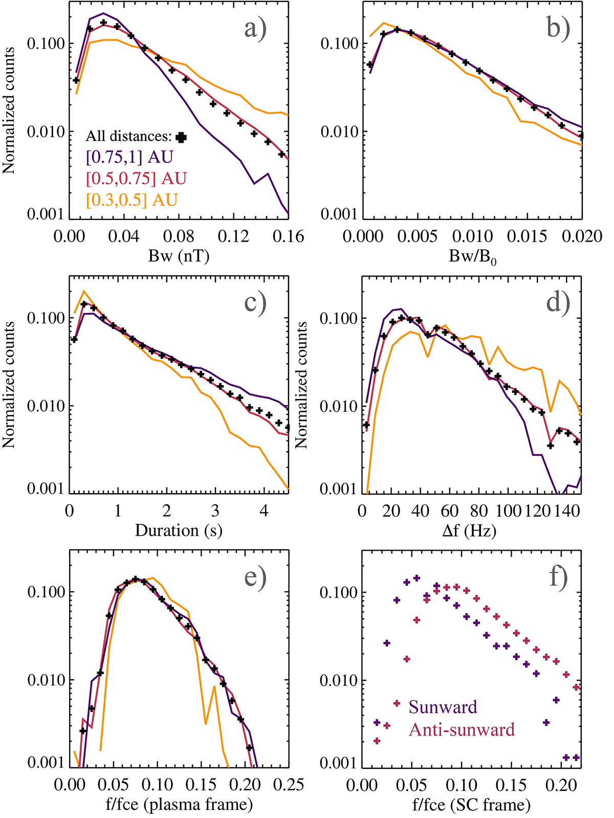
Normalized histograms for different wave parameters as a function of heliocentric distance. The wave parameters are as follows: Panel a: Wave amplitude. Panel b: Wave amplitude normalized by the background magnetic field. Panel c: Duration of the wave packets. Panel d: Frequency width. Panel e: Frequency in the plasma frame normalized by the local electron cyclotron frequency. Panel f: Histogram of the frequency in the spacecraft frame normalized by the electron cyclotron frequency for sunward (in purple) and anti-sunward whistler waves (in pink).

Current usage metrics show cumulative count of Article Views (full-text article views including HTML views, PDF and ePub downloads, according to the available data) and Abstracts Views on Vision4Press platform.

Data correspond to usage on the plateform after 2015. The current usage metrics is available 48-96 hours after online publication and is updated daily on week days.

Initial download of the metrics may take a while.