Fig. 1

Download original image
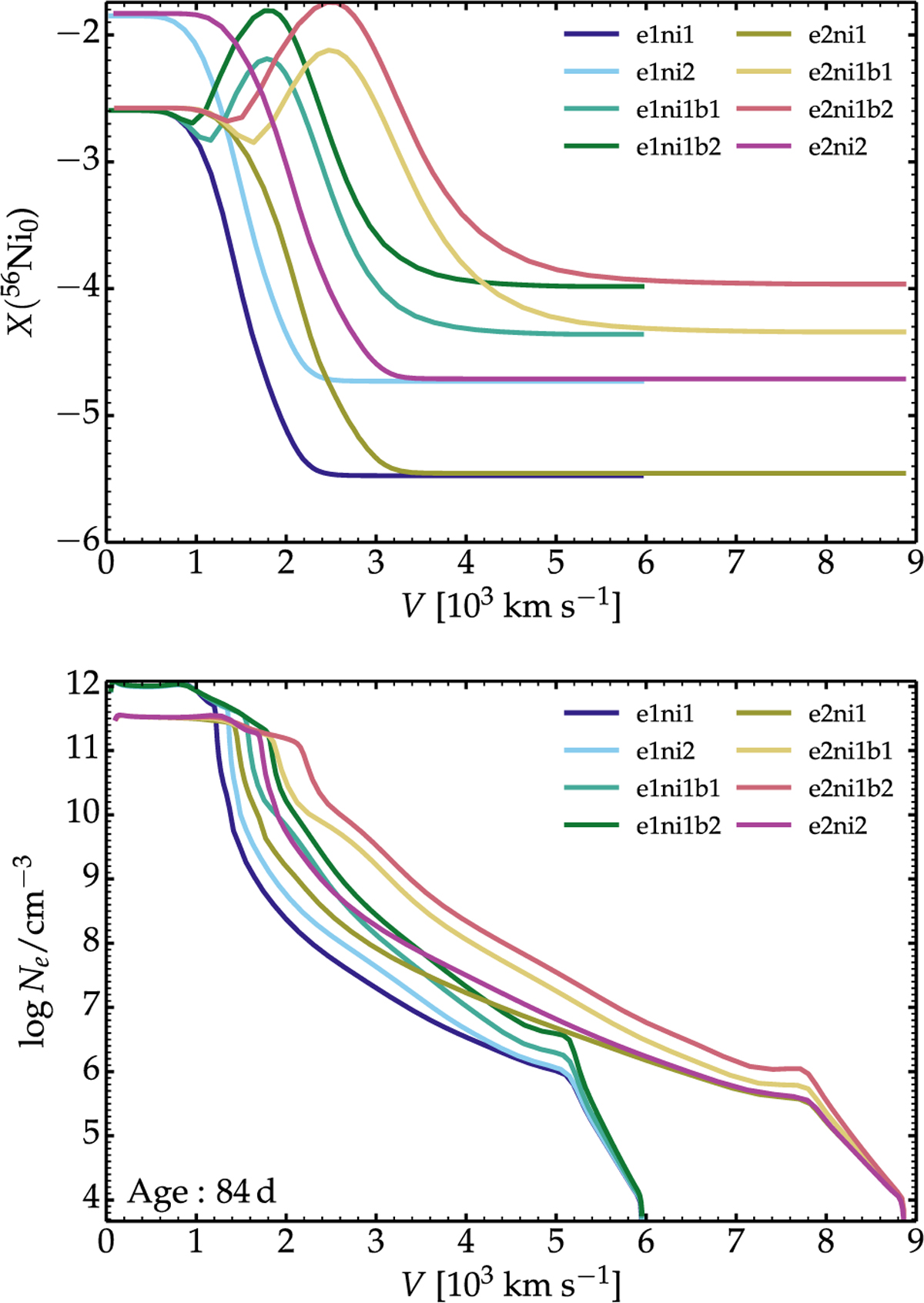
Ejecta properties for our 1D CMFGEN model set. Top: profile of the undecayed 56Ni vs. velocity. The bump in the 56Ni abundance at higher velocities for models labeled with a b1/2 suffix does not appear in the other models, in which there is only a central concentration of 56Ni. Bottom: Profile of the electron density vs. velocity at 84 days after explosion.
Current usage metrics show cumulative count of Article Views (full-text article views including HTML views, PDF and ePub downloads, according to the available data) and Abstracts Views on Vision4Press platform.
Data correspond to usage on the plateform after 2015. The current usage metrics is available 48-96 hours after online publication and is updated daily on week days.
Initial download of the metrics may take a while.