Fig. 6

Download original image
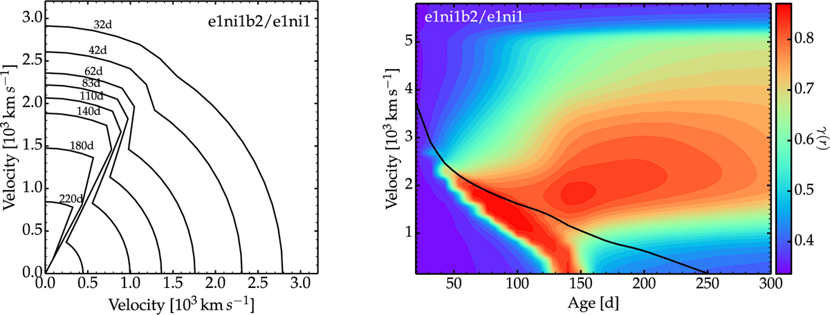
Illustration of the electron-scattering photosphere and shape factor. Left: evolving morphology of the electron-scattering photosphere (obtained through a radial integration of the electron-scattering optical depth) in the 2D axisymmetric model e1ni1b2/e1ni1. The symmetry axis lies in the vertical direction. Only one octant is shown since our 2D simulations adopt mirror symmetry with respect to the equatorial plane. Right: corresponding evolution of the shape factor γ(r), shown as a color map, between 32 and 300 days and as function of velocity (because of homologous expansion, the radius is equal to the velocity multiplied by the SN age. Radius and velocity are therefore analogous quantities). Spherical symmetry corresponds to γ(r) = 1/3. The black line shows the representative angle-averaged location of the photosphere at each epoch.
Current usage metrics show cumulative count of Article Views (full-text article views including HTML views, PDF and ePub downloads, according to the available data) and Abstracts Views on Vision4Press platform.
Data correspond to usage on the plateform after 2015. The current usage metrics is available 48-96 hours after online publication and is updated daily on week days.
Initial download of the metrics may take a while.