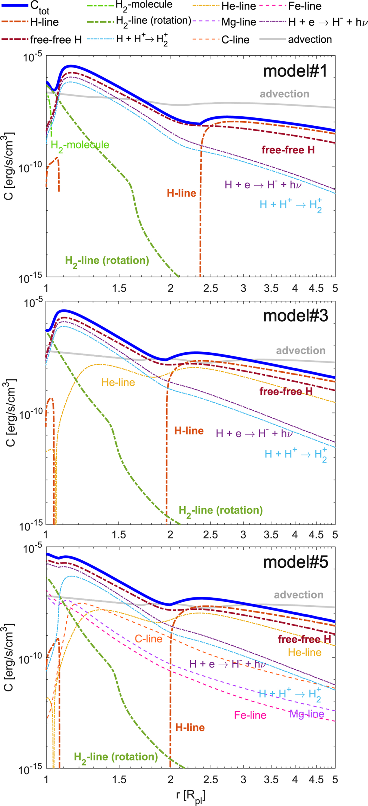
Fig. 10

Download original image
Volume cooling rates and their most relevant contributors (> 1 % of Ctot at their maximum) calculated for the hot 5 M⊕ sub-Neptune under moderate XUV irradiation. The top, middle, and bottom panels present the results of model#1 (pure hydrogen atmosphere), model#3 (hydrogen+helium), and model #5 (solar composition), respectively. The processes responsible for the cooling, and the corresponding line styles are given in the legend located above the top panel with the following notation: Ctot – total volume cooling from all sources; H-line – atomic hydrogen line cooling; free-free H – bremsstrahlung cooling from hydrogen (and helium, when included in the model); H2-molecule – H2 molecule cooling; H2-line (rotation) – line cooling within a H2 molecule; cooling due to recombination of
; H + e → H− + hv − cooling due to an electron hitting a hydrogen atom in the ground state loosing its kinetic energy and hydrogen atom can emit a photon; He-line – helium line cooling; C-line – carbon line cooling; Mg-line – magnesium line cooling; Fe-line – iron line cooling. For reference, we include in each panel the advection term including adiabatic cooling from the models with the wind, with the respective composition.
Current usage metrics show cumulative count of Article Views (full-text article views including HTML views, PDF and ePub downloads, according to the available data) and Abstracts Views on Vision4Press platform.
Data correspond to usage on the plateform after 2015. The current usage metrics is available 48-96 hours after online publication and is updated daily on week days.
Initial download of the metrics may take a while.