Open Access
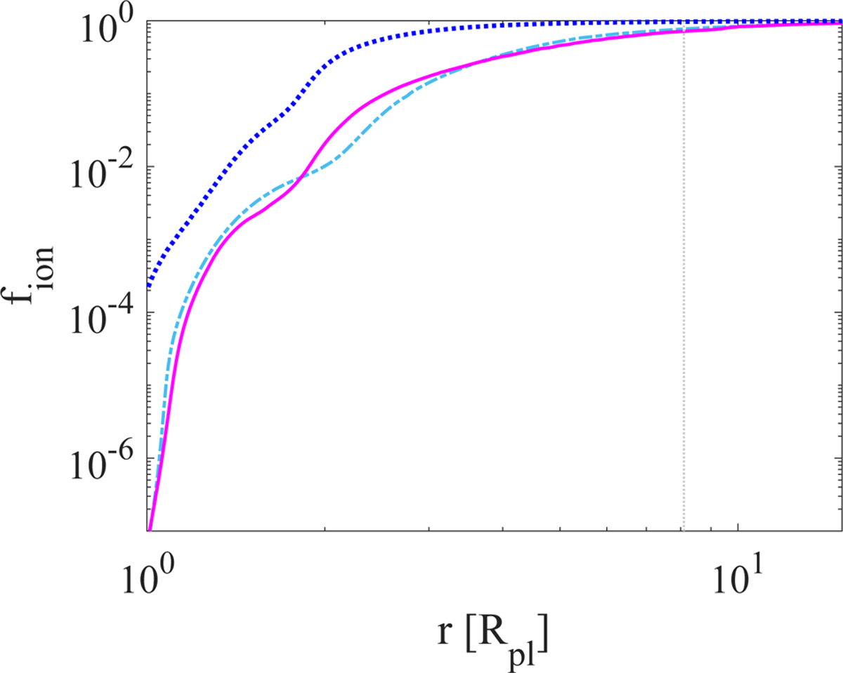
Fig. 12

Download original image
Ion fraction against planetary radial distance as predicted by model #0 (dark blue dotted line), model #1 (light blue dash-dotted line), and model #2 (magenta solid line) for the hot Neptune considered in Sect. 5.2. The grey vertical line denotes the position of the Roche radius.
Current usage metrics show cumulative count of Article Views (full-text article views including HTML views, PDF and ePub downloads, according to the available data) and Abstracts Views on Vision4Press platform.
Data correspond to usage on the plateform after 2015. The current usage metrics is available 48-96 hours after online publication and is updated daily on week days.
Initial download of the metrics may take a while.