Fig. 14

Download original image
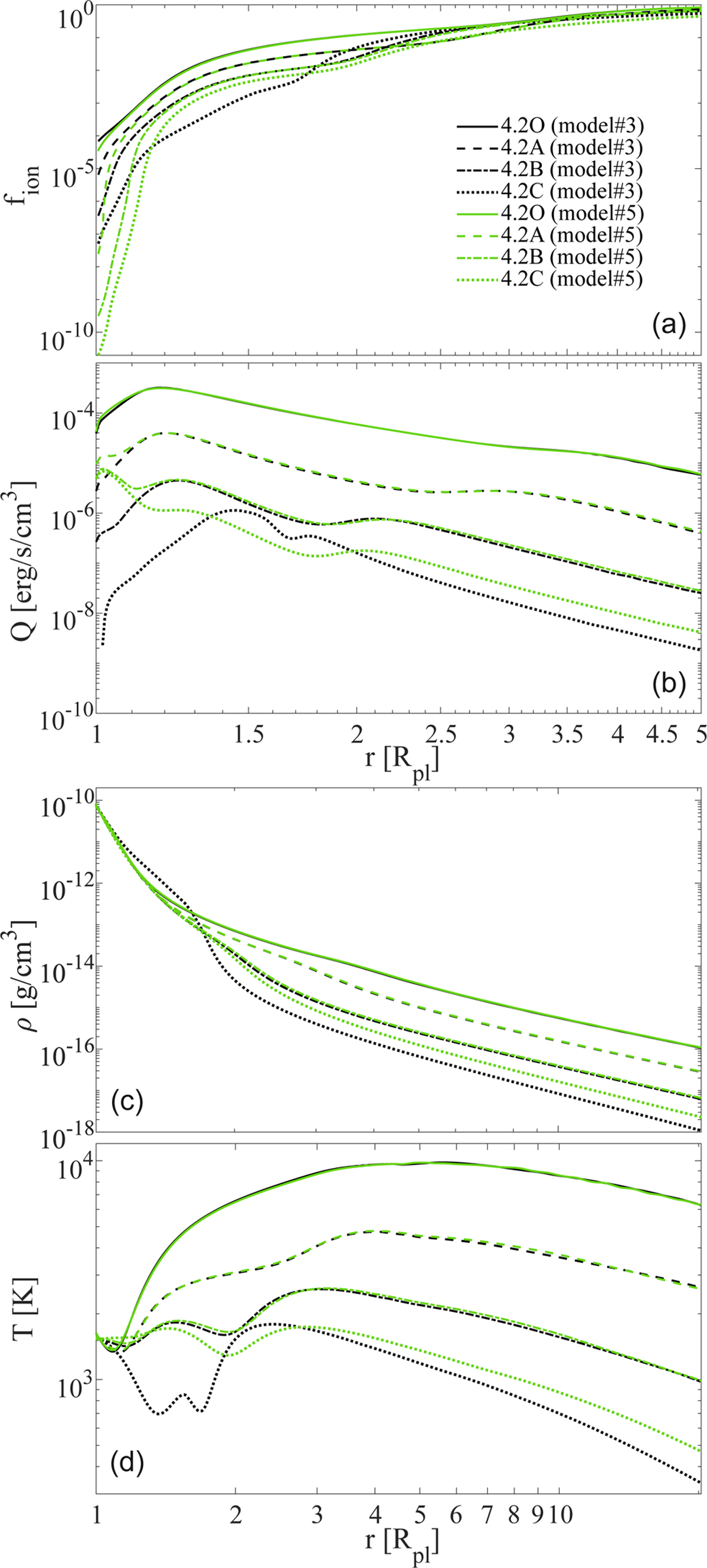
Atmospheric proflies for ion fraction (panel a), volume heating rate (panel b), mass density (panel c), and temperature (panel d) predicted by model #3 (hydrogen-helium atmosphere, black lines) and model #5 (solar abundances, green lines) for the hot sub-Neptune planet considered in Sect. 5.2 under different levels of XUV irradiation. The different line styles correspond to the different irradiation levels: FXUV = 1.5 × 106erg s−1 cm−2 (planet 4.2O in Table A.1; solid lines), FXUV = 1.8 × 105 erg s−1 cm−2 (4.2A; dashed lines), FXUV = 2.7 × 104 erg s−1 cm−2 (4.2B; dash-dotted lines), and FXUV = 4.64 × 103 erg s−1 cm−2 (4.2C; dotted lines).
Current usage metrics show cumulative count of Article Views (full-text article views including HTML views, PDF and ePub downloads, according to the available data) and Abstracts Views on Vision4Press platform.
Data correspond to usage on the plateform after 2015. The current usage metrics is available 48-96 hours after online publication and is updated daily on week days.
Initial download of the metrics may take a while.