Fig. 16

Download original image
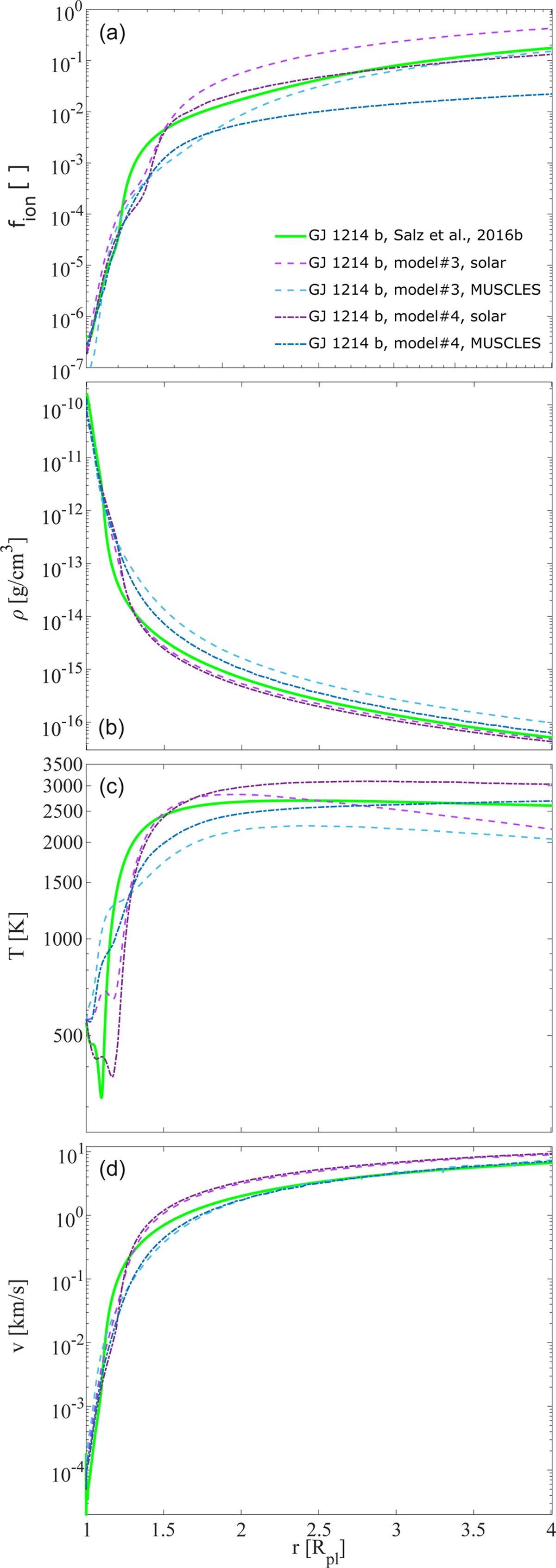
Atmospheric profiles of GJ 1214 b calculated using model #3 (dashed lines) and model #4 (dash-dotted lines) and employing scaled solar (violet) and MUSCLES (blue) input stellar spectra. For reference, we show the profiles from Salz et al. (2016a) in green. Panel a: Ion fraction. Panel b: Mass density. Panel c: Temperature. Panel d: Bulk velocity.
Current usage metrics show cumulative count of Article Views (full-text article views including HTML views, PDF and ePub downloads, according to the available data) and Abstracts Views on Vision4Press platform.
Data correspond to usage on the plateform after 2015. The current usage metrics is available 48-96 hours after online publication and is updated daily on week days.
Initial download of the metrics may take a while.