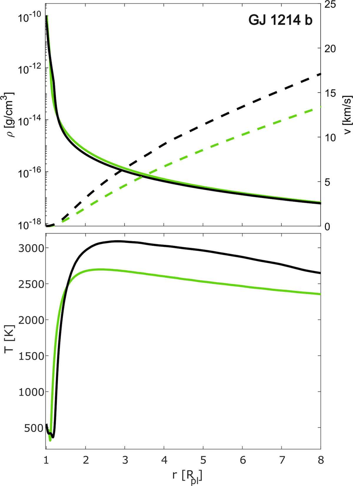
Fig. 2

Download original image
Model results obtained for GJ 1214 b. Top: Density (left axis, solid lines) and velocity (right axis, dashed lines) profiles. Bottom: Temperature profiles. In both panels, the green lines are for the results obtained by Salz et al. (2016a), while the black lines are the results obtained from our model with wind advection in the Cloudy computations.
Current usage metrics show cumulative count of Article Views (full-text article views including HTML views, PDF and ePub downloads, according to the available data) and Abstracts Views on Vision4Press platform.
Data correspond to usage on the plateform after 2015. The current usage metrics is available 48-96 hours after online publication and is updated daily on week days.
Initial download of the metrics may take a while.