Fig. 8

Download original image
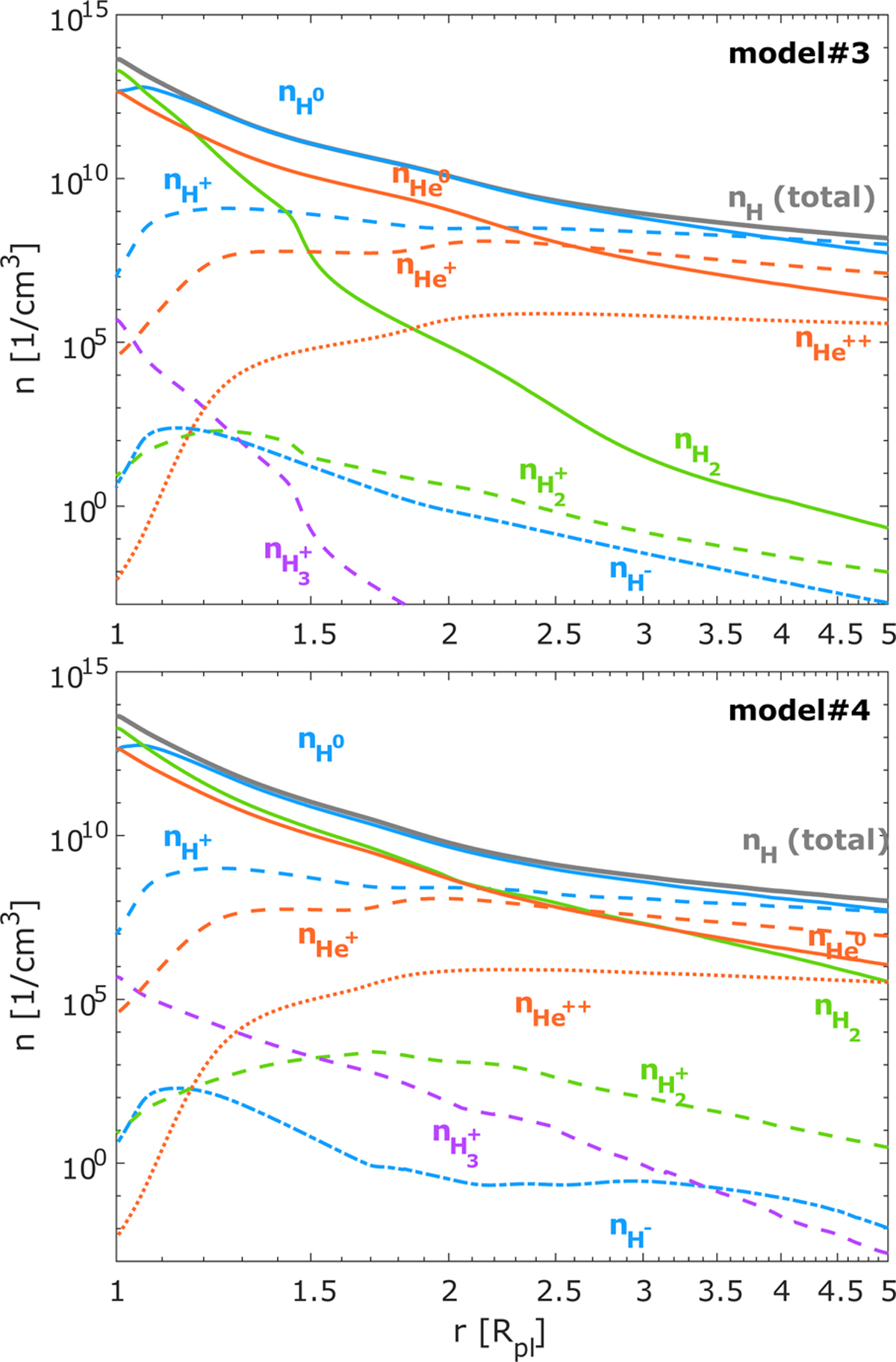
Distribution of hydrogen and helium species against radial distance predicted by models #3 (top panel) and #4 (bottom panel). The grey solid line gives the total numerical density of all hydrogen species, for reference. The blue lines show the species of atomic hydrogen (solid for neutral H, dashed for H+, and dash-dotted for H−), the green lines show molecular hydrogen (solid for neutral H2 and dashed for H+), the violet dashed line shows , and the orange lines show helium species (solid for neutral He, dashed for He+, and dotted for He++).
Current usage metrics show cumulative count of Article Views (full-text article views including HTML views, PDF and ePub downloads, according to the available data) and Abstracts Views on Vision4Press platform.
Data correspond to usage on the plateform after 2015. The current usage metrics is available 48-96 hours after online publication and is updated daily on week days.
Initial download of the metrics may take a while.