Fig. 2.

Download original image
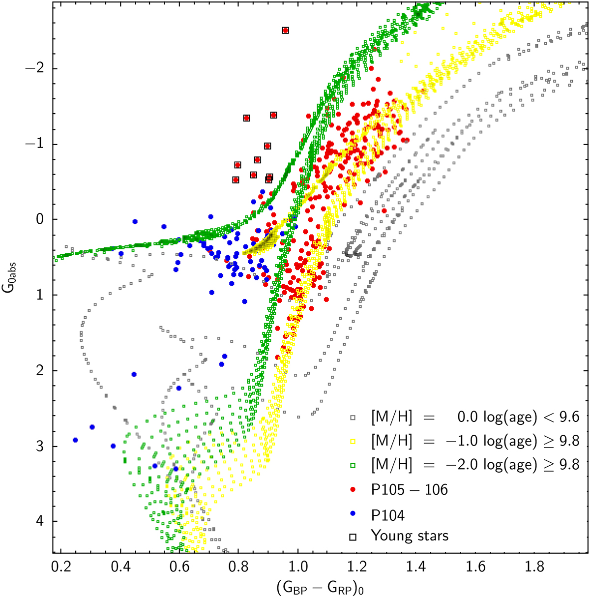
Colour magnitude diagram of the observed high-speed stars. The stars discussed in Paper I are in blue, which were observed in ESO period 104, and those observed in period 105 and 106 are in red. We provide PARSEC isochrones (Bressan et al. 2012) of metallicity 0.0 (grey), −1.0 (yellow), and −2.0 (green) of different age ranges. The age difference between consecutive isochrones of any given metallicity is 1 Ga. The apparently young stars observed in periods 105 and 106 are identifiable with an open square around the symbol.
Current usage metrics show cumulative count of Article Views (full-text article views including HTML views, PDF and ePub downloads, according to the available data) and Abstracts Views on Vision4Press platform.
Data correspond to usage on the plateform after 2015. The current usage metrics is available 48-96 hours after online publication and is updated daily on week days.
Initial download of the metrics may take a while.