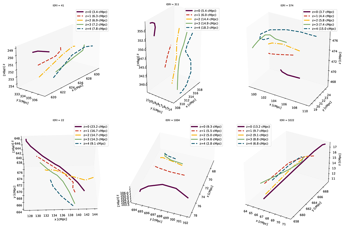
Fig. 8.

Download original image
Example of z = 0 filaments having complete evolutionary tracks up to z = 4. The coloured lines represent the spines of the filaments at different redshifts. Top row: filaments that contracted with time. Bottom row: filaments that expanded with time. The numbers in parenthesis are the length of the filament at a given cosmic time, in comoving megaparsec.
Current usage metrics show cumulative count of Article Views (full-text article views including HTML views, PDF and ePub downloads, according to the available data) and Abstracts Views on Vision4Press platform.
Data correspond to usage on the plateform after 2015. The current usage metrics is available 48-96 hours after online publication and is updated daily on week days.
Initial download of the metrics may take a while.