Fig. 12

Download original image
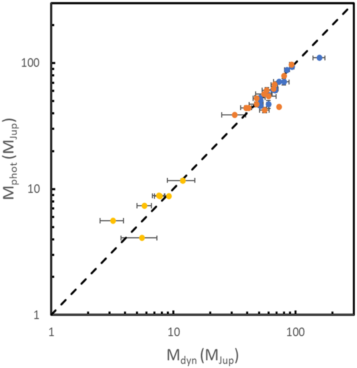
Comparison between masses obtained from dynamics and those estimated from evolutionary models for sub-stellar objects. Evolutionary masses were obtained from the AMES isochrones using the approach described in this paper. Yellow symbols represent planetary companions; blue-filled circles show primaries and orange symbols show secondaries from the binary BD sample of Dupuy & Liu (2017). The dashed line is for equality.
Current usage metrics show cumulative count of Article Views (full-text article views including HTML views, PDF and ePub downloads, according to the available data) and Abstracts Views on Vision4Press platform.
Data correspond to usage on the plateform after 2015. The current usage metrics is available 48-96 hours after online publication and is updated daily on week days.
Initial download of the metrics may take a while.