Open Access

Fig. D.1

image

Download original image

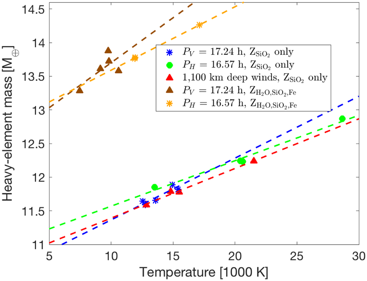
How Uranus’s total bulk heavy-element abundance depends on its central temperature. Each set of models is plotted separately (see legend). For each set, a dashed trend line is calculated and drawn in the corresponding color.

Current usage metrics show cumulative count of Article Views (full-text article views including HTML views, PDF and ePub downloads, according to the available data) and Abstracts Views on Vision4Press platform.

Data correspond to usage on the plateform after 2015. The current usage metrics is available 48-96 hours after online publication and is updated daily on week days.

Initial download of the metrics may take a while.