Open Access

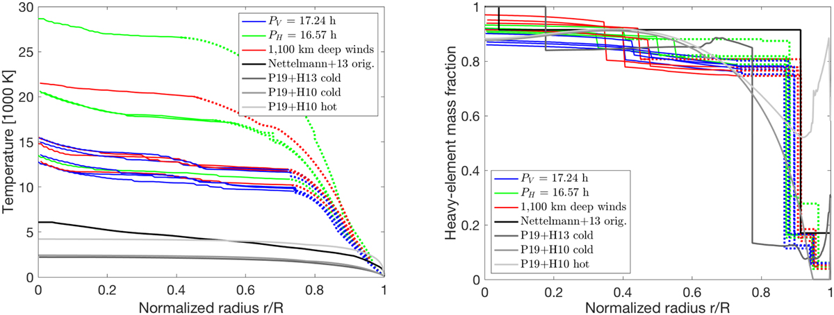
Fig. E.1

image

Download original image

Comparison of our models with published results. The left (right) panel compares our models to the gray-shaded solutions of Nettelmann et al. (2013) and Podolak et al. (2019) in terms of temperature (metallicity). The convective and non-convective regions of each model are indicated by dotted and solid parts in each curve, respectively. All our models presented here consist of a protosolar H–He mixture and pure rock as heavy elements.

Current usage metrics show cumulative count of Article Views (full-text article views including HTML views, PDF and ePub downloads, according to the available data) and Abstracts Views on Vision4Press platform.

Data correspond to usage on the plateform after 2015. The current usage metrics is available 48-96 hours after online publication and is updated daily on week days.

Initial download of the metrics may take a while.