Open Access

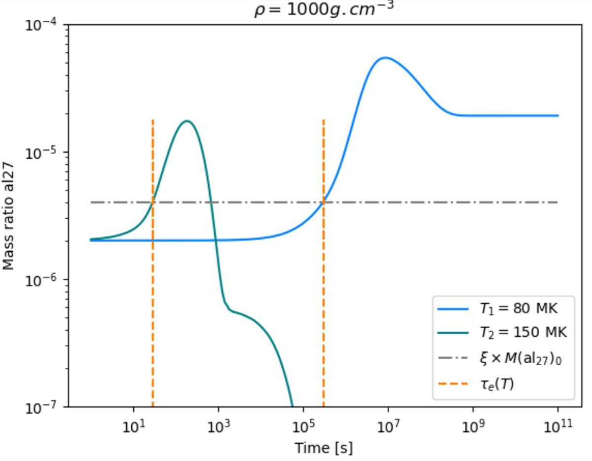
Fig. 1.

image

Download original image

Illustration of the concept of enrichment timescale. The green and blue lines represent the 27Al mass ratio obtained from nuclear reaction simulations at temperatures of T = 80 MK and T = 150 MK, respectively. The dash-dotted line represents the threshold set to determine enrichment, with ξ = 2. In this case, 27Al is considered enriched if M27Al > 2 × M27Al0. The two orange dashed lines correspond to the enrichment timescales, represented by their respective x-values.

Current usage metrics show cumulative count of Article Views (full-text article views including HTML views, PDF and ePub downloads, according to the available data) and Abstracts Views on Vision4Press platform.

Data correspond to usage on the plateform after 2015. The current usage metrics is available 48-96 hours after online publication and is updated daily on week days.

Initial download of the metrics may take a while.