Open Access

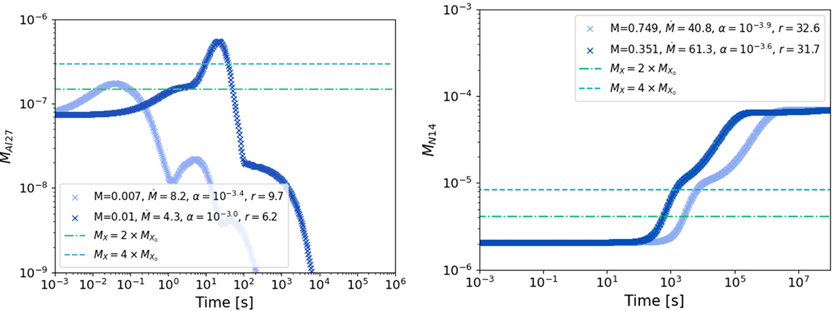
Fig. 7.

image

Download original image

Variation of 27Al and 14N mass ratio over time for two runs where the enrichment timescale exceeds the viscous timescale. The label details the parameters of the black hole and accretion disk system. The mass, M, is expressed in M, the mass accretion rate in terms of the Eddington rate, Edd, and the radius in unit of the Schwarzschild radius. The two thresholds for considering different enrichment level are represented by the dash-dot and the dotted lines. While the 27Al mass ratio only remain above the lines for a brief duration, the enrichment in 14N is rather stable and remains at a high level until the end of the simulation.

Current usage metrics show cumulative count of Article Views (full-text article views including HTML views, PDF and ePub downloads, according to the available data) and Abstracts Views on Vision4Press platform.

Data correspond to usage on the plateform after 2015. The current usage metrics is available 48-96 hours after online publication and is updated daily on week days.

Initial download of the metrics may take a while.