Open Access

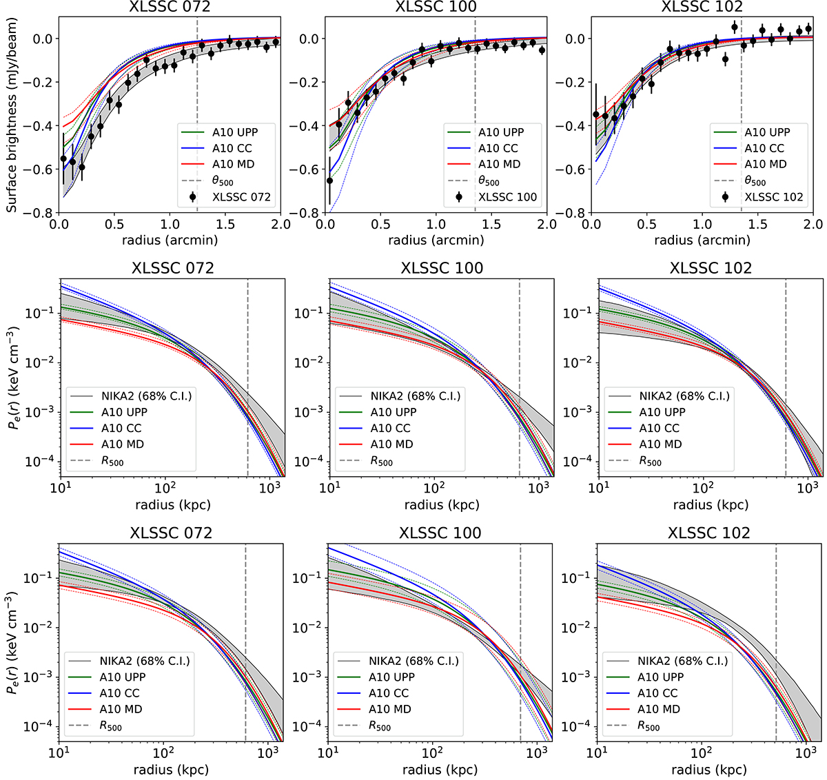
Fig. 6.

image

Download original image

NIKA2 constraints on the thermal pressure profile. Top: gNFW constraints on the SZ surface brightness. Middle: gNFW constraints on the thermal electron pressure profile. The gray band provides the 1σ constraint on the model. The green, blue, and red lines give the expected model according to the UPP, the cool-core (CC) pressure profile, and the morphologically disturbed (MD) pressure profile according to Arnaud et al. (2010) given the YX − M masses. The corresponding dashed lines give the same model assuming higher or lower masses by 1σ. Bottom: same as the middle row, but computing the expected models given the masses derived from the direct NFW fit to the pressure profile plus the density profile.

Current usage metrics show cumulative count of Article Views (full-text article views including HTML views, PDF and ePub downloads, according to the available data) and Abstracts Views on Vision4Press platform.

Data correspond to usage on the plateform after 2015. The current usage metrics is available 48-96 hours after online publication and is updated daily on week days.

Initial download of the metrics may take a while.