Fig. 2

Download original image
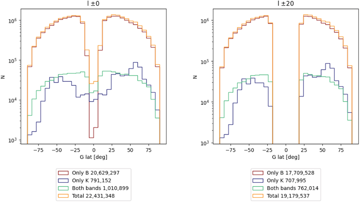
Distribution of GLADE+ galaxies before (left) and after approximately 3 million galaxies were excluded, primarily because they are located within the galactic plane. Among the remaining galaxies, more than 17 million (in red) lack apparent K-magnitude values, while roughly 707 000 (in blue) have no apparent B-magnitude information. Lastly, there are approximately 760 000 sources (in green) with information available for both bands.
Current usage metrics show cumulative count of Article Views (full-text article views including HTML views, PDF and ePub downloads, according to the available data) and Abstracts Views on Vision4Press platform.
Data correspond to usage on the plateform after 2015. The current usage metrics is available 48-96 hours after online publication and is updated daily on week days.
Initial download of the metrics may take a while.