Open Access

Fig. 2

image

Download original image

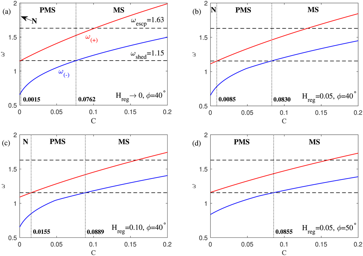
Upper bound and lower bound of critical spin rate as the function of regolith cohesive strength C. (a−c) The friction angle is ϕ = 30° and the regolith thickness vavies from Hreg → 0 to Hreg = 0.10. (b) The friction angle is set to be a larger value ϕ = 40° and the thickness of the regolith is Hreg = 0.05. N: no mass shedding; PMS: possible mass shedding; and MS: mass shedding.

Current usage metrics show cumulative count of Article Views (full-text article views including HTML views, PDF and ePub downloads, according to the available data) and Abstracts Views on Vision4Press platform.

Data correspond to usage on the plateform after 2015. The current usage metrics is available 48-96 hours after online publication and is updated daily on week days.

Initial download of the metrics may take a while.