Open Access

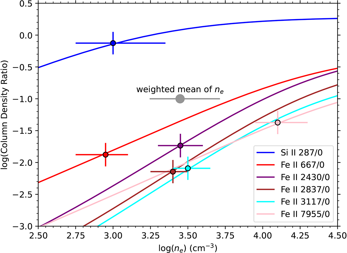
Fig. 6.

image

Download original image

Measured column density ratios of different energy states of Si II and Fe II versus electron number density (log ne), calculated using CHIANTI (Dere et al. 1997, 2019). The color-coded curves are the theoretical relationships between ratio vs. ne, while the dots indicate the measured ratios and associated log ne values. The weighted mean of is indicated with a gray dot.

Current usage metrics show cumulative count of Article Views (full-text article views including HTML views, PDF and ePub downloads, according to the available data) and Abstracts Views on Vision4Press platform.

Data correspond to usage on the plateform after 2015. The current usage metrics is available 48-96 hours after online publication and is updated daily on week days.

Initial download of the metrics may take a while.