Open Access

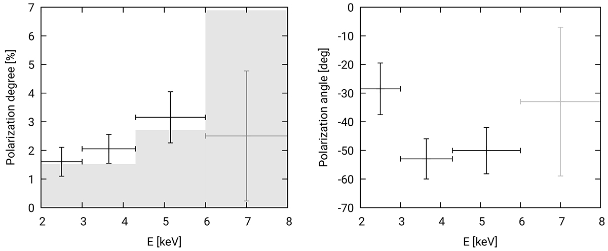
Fig. 4.

image

Download original image

Measured PD (left) and PA (right) of 4U 1957+115, shown with 1σ error bars. The shaded grey area in the PD-plot is an estimate of the MDP99, which shows a significant polarisation measurement from 2 keV up to 6 keV.

Current usage metrics show cumulative count of Article Views (full-text article views including HTML views, PDF and ePub downloads, according to the available data) and Abstracts Views on Vision4Press platform.

Data correspond to usage on the plateform after 2015. The current usage metrics is available 48-96 hours after online publication and is updated daily on week days.

Initial download of the metrics may take a while.