Open Access

Fig. 8.

image

Download original image

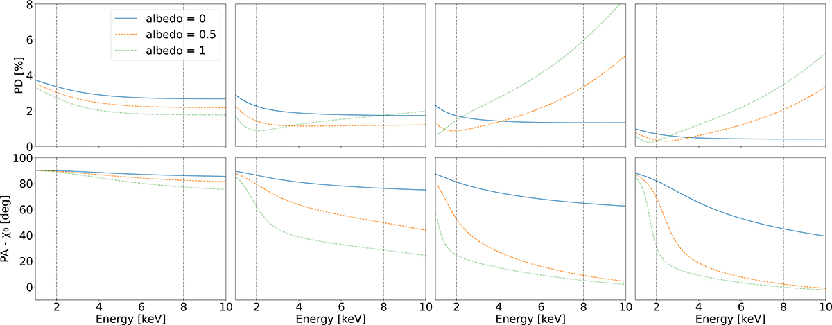
PD (top row) and PA (bottom row) predicted by the kynbbrr model for the disc emission assuming different values for the BH spin and for the system inclination (from left to right): a = 0.5 and i = 75°, a = 0.96 and i = 75°, a = 0.998 and i = 75°, and a = 0.998 and i = 50°. The different colours indicate different contributions of the returning radiation component, regulated by the albedo parameter. The vertical dashed lines highlight the 2–8 keV energy range. Here, the PA is defined with respect to the disc axis position angle χ0.

Current usage metrics show cumulative count of Article Views (full-text article views including HTML views, PDF and ePub downloads, according to the available data) and Abstracts Views on Vision4Press platform.

Data correspond to usage on the plateform after 2015. The current usage metrics is available 48-96 hours after online publication and is updated daily on week days.

Initial download of the metrics may take a while.