Fig. 3

Download original image
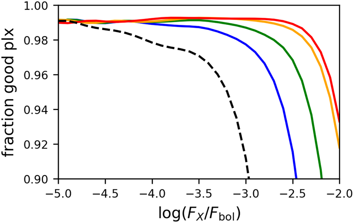
Distribution of coronal eRASSl counterparts with reliable parallax as a function of the X-ray over bolometric flux. For the blue, green, orange, and red lines, dwarfs of spectral type F (BP−RP = 0.6 mag), G (BP−RP = 0.85 mag), K (BP−RP = 1.4 mag), and M (BP−RP = 2.5 mag) are considered as counterparts. Giants located 5 mag above the main sequence and with BP−RP = 1.2 mag are shown by the dashed black line.
Current usage metrics show cumulative count of Article Views (full-text article views including HTML views, PDF and ePub downloads, according to the available data) and Abstracts Views on Vision4Press platform.
Data correspond to usage on the plateform after 2015. The current usage metrics is available 48-96 hours after online publication and is updated daily on week days.
Initial download of the metrics may take a while.