Fig. 4

Download original image
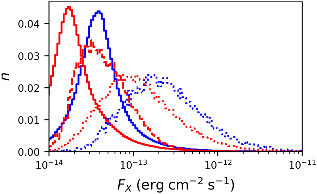
Comparison of the X-ray fluxes in the training set and the complete catalog. The solid blue and red lines show the flux distributions of all eRASS1 and eRASS:4 sources, while X-ray fluxes of the eRASS1 and eRASS:4 training set are shown by the dotted blue and red lines, respectively. For the dashed red histogram, the eRASS:4 training set sources are weighted (see text for details). All distributions are normalized to the number of sources in the sample.
Current usage metrics show cumulative count of Article Views (full-text article views including HTML views, PDF and ePub downloads, according to the available data) and Abstracts Views on Vision4Press platform.
Data correspond to usage on the plateform after 2015. The current usage metrics is available 48-96 hours after online publication and is updated daily on week days.
Initial download of the metrics may take a while.