Fig. 1.

Download original image
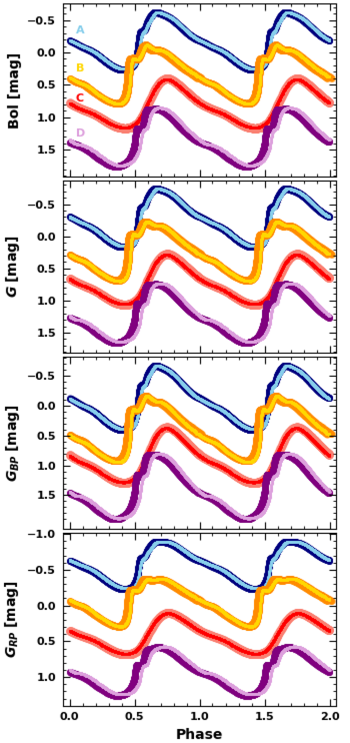
Light curves in the bolometric, G, GBP, and GRP bands (shown from top to bottom) for a BL Her model with input parameters, Z = 0.00043, X = 0.75041, M = 0.6 M⊙, L = 100 L⊙, and T = 6700 K computed using four sets of convection parameters (sets A, B, C, and D depicted in different colours). Light curves are vertically offset by 0.5 mag successively for visualisation purposes. The light curves in the foreground are computed using MESA r11701 and used in this analysis while the corresponding light curves depicted in the background are computed using the latest version, MESA r23.05.1.
Current usage metrics show cumulative count of Article Views (full-text article views including HTML views, PDF and ePub downloads, according to the available data) and Abstracts Views on Vision4Press platform.
Data correspond to usage on the plateform after 2015. The current usage metrics is available 48-96 hours after online publication and is updated daily on week days.
Initial download of the metrics may take a while.