Open Access

Fig. 1.

image

Download original image

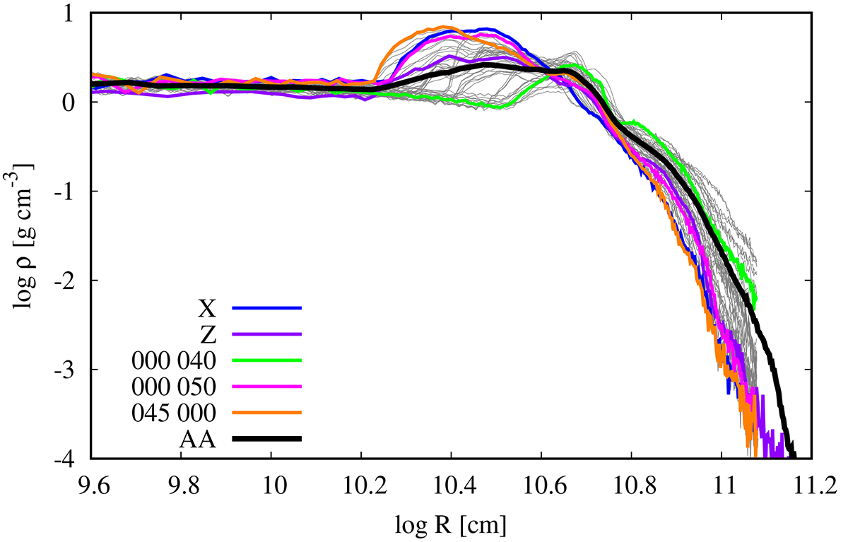
Density profiles (ρ over radius R) of all viewing angles (grey lines) extracted from the 3D hydrodynamics simulations of the merger of the WD and He-core with AREPO. The coloured curves represent the selected profiles (see Table 1) that bracket the entire set of viewing angles and are used as input for radiative simulations with STELLA. The labels ‘X’ and ‘Z’ stand for case x and case z in our set of selected directions.

Current usage metrics show cumulative count of Article Views (full-text article views including HTML views, PDF and ePub downloads, according to the available data) and Abstracts Views on Vision4Press platform.

Data correspond to usage on the plateform after 2015. The current usage metrics is available 48-96 hours after online publication and is updated daily on week days.

Initial download of the metrics may take a while.