Open Access
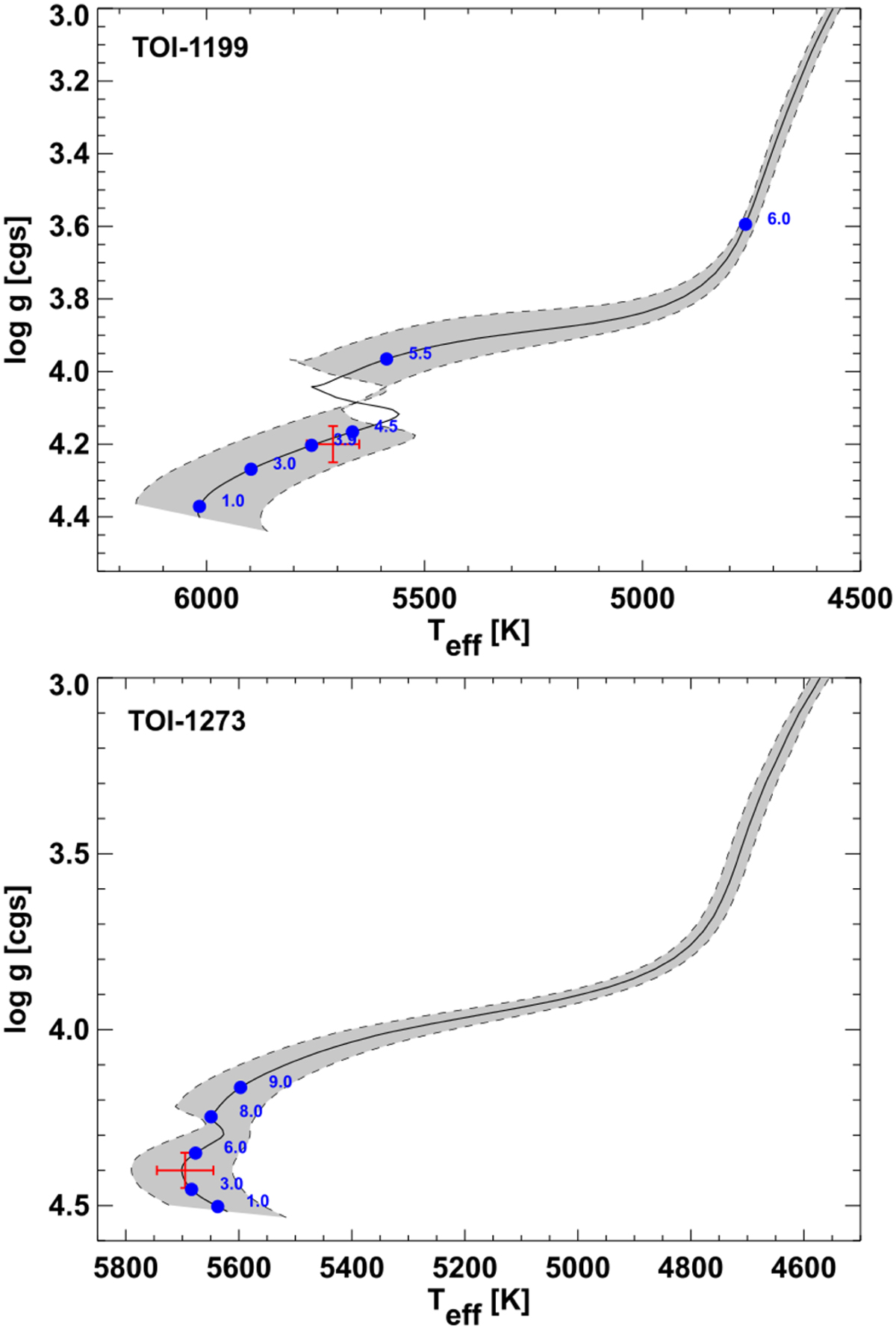
Fig. 7

Download original image
Kiel diagrams for TOI-1199 and TOI-1273, showing log g versus Teff (red symbol) against the Yonsei-Yale stellar evolutionary model for the inferred mass and metallicity (gray swathe). Model ages are represented at various points as blue symbols with labels in Gyr.
Current usage metrics show cumulative count of Article Views (full-text article views including HTML views, PDF and ePub downloads, according to the available data) and Abstracts Views on Vision4Press platform.
Data correspond to usage on the plateform after 2015. The current usage metrics is available 48-96 hours after online publication and is updated daily on week days.
Initial download of the metrics may take a while.