Open Access

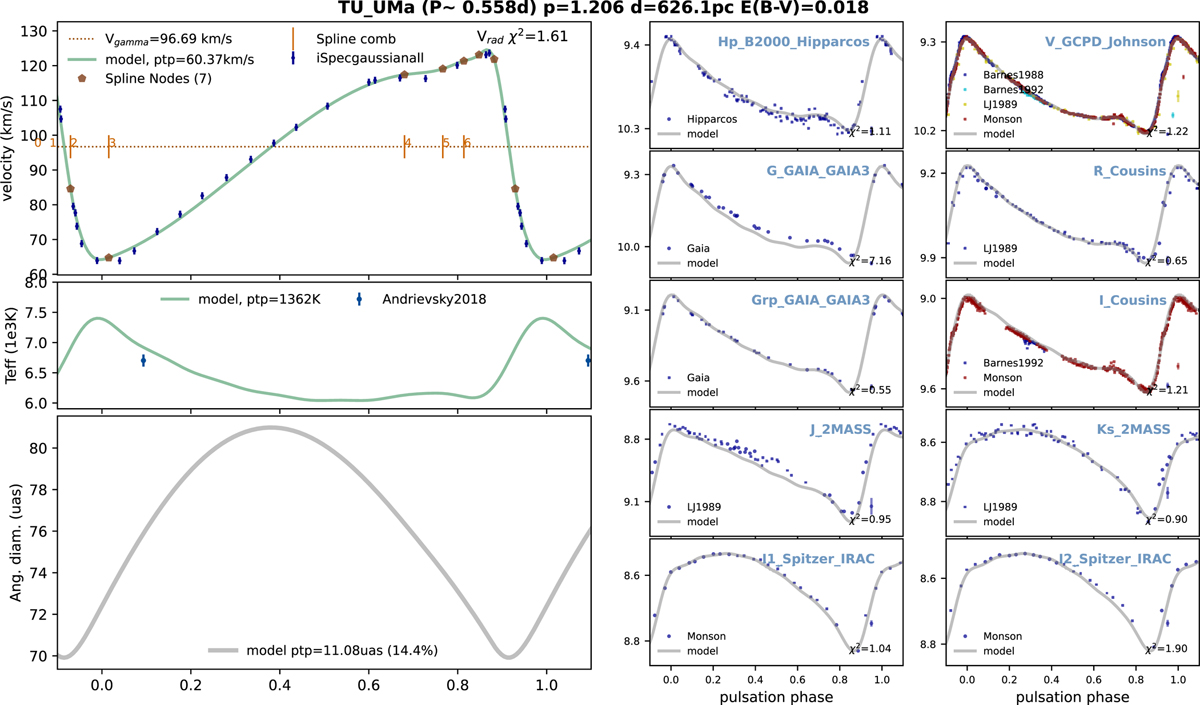
Fig. A.6

image

Download original image

SPIPS model of TU UMa with RV from SOPHIE spectra (Gaussian fit of the CCF using the binary mask built for RRLs with all unblended lines). Photometry measurements are from Monson et al. (2017), Liu & Janes (1989), Barnes et al. (1988), and Barnes et al. (1992) (42% of available photometric measurements).

Current usage metrics show cumulative count of Article Views (full-text article views including HTML views, PDF and ePub downloads, according to the available data) and Abstracts Views on Vision4Press platform.

Data correspond to usage on the plateform after 2015. The current usage metrics is available 48-96 hours after online publication and is updated daily on week days.

Initial download of the metrics may take a while.