Open Access

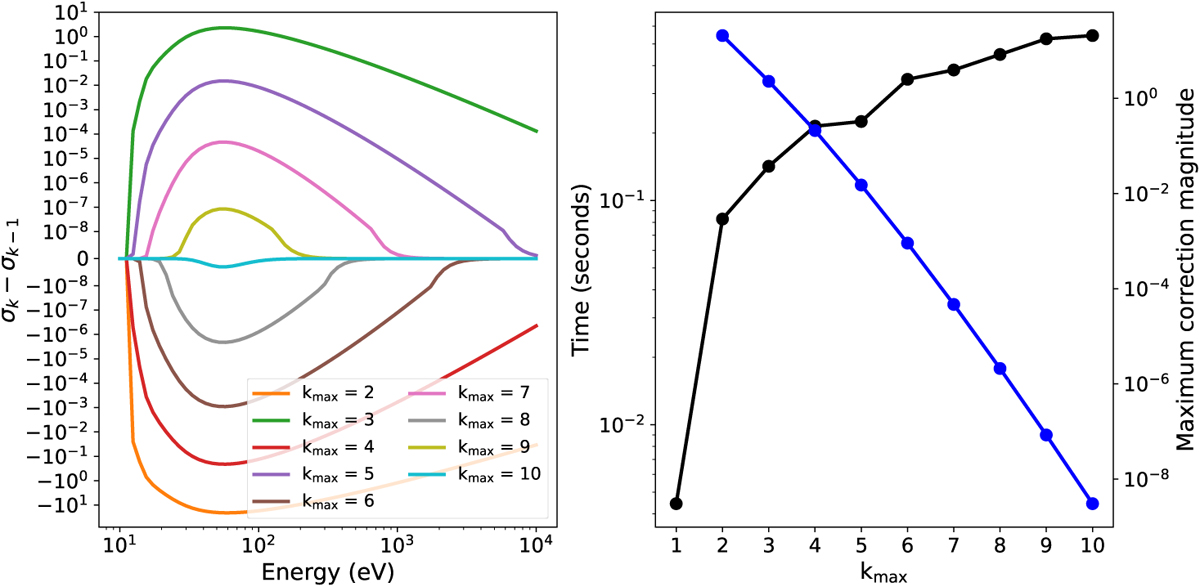
Fig. 4

image

Download original image

Benchmark of the number of k-atom screening corrections included using C5H10. Left: k-atom screening corrections as a function of electron energy for C5H10. Right: time to compute σSCAR(Ee) for a given maximum k-atom screening correction (black) and the magnitude of the maximum correction (blue) as a function of the maximum k.

Current usage metrics show cumulative count of Article Views (full-text article views including HTML views, PDF and ePub downloads, according to the available data) and Abstracts Views on Vision4Press platform.

Data correspond to usage on the plateform after 2015. The current usage metrics is available 48-96 hours after online publication and is updated daily on week days.

Initial download of the metrics may take a while.