Open Access

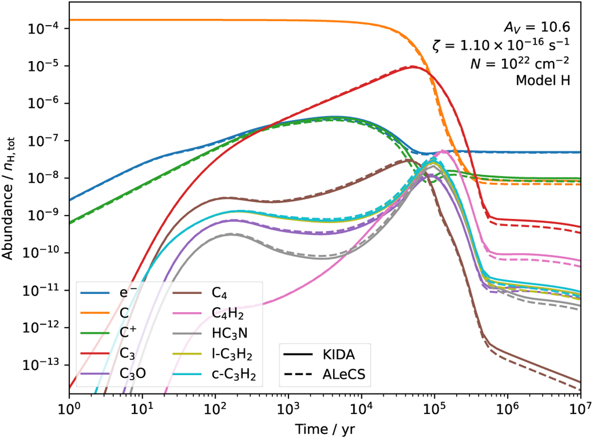
Fig. 8

image

Download original image

Comparison of the chemical evolution using KIDA reaction rates (solid lines) and our rates (dashed lines). We report the species that present a difference of at least half an order of magnitude and reach at least n(t) = 10−8nH,tot. The ionization rate of H2 is 1.64 × 10−16 s−1, and the rate for model “High” and with the assumptions described in the text corresponds to Av = 10.6 and N = 1022 cm −2.

Current usage metrics show cumulative count of Article Views (full-text article views including HTML views, PDF and ePub downloads, according to the available data) and Abstracts Views on Vision4Press platform.

Data correspond to usage on the plateform after 2015. The current usage metrics is available 48-96 hours after online publication and is updated daily on week days.

Initial download of the metrics may take a while.