Open Access

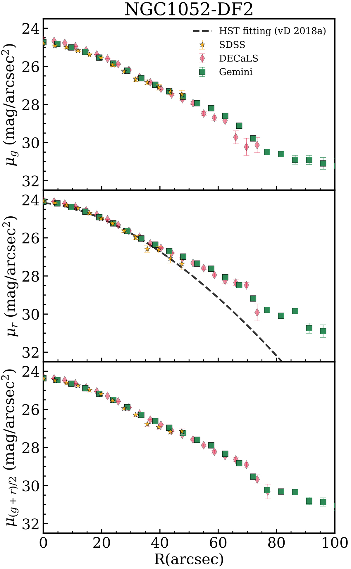
Fig. 5.

image

Download original image

Surface brightness profiles of NGC 1052-DF2 in the g band (upper panel), r band (middle panel), and the combination of the two filters (lower panel). The different symbols correspond to data obtained with different telescopes. These profiles were obtained using a fixed ellipticity and PA representative of the outer parts of the galaxy (see the main text for details). The dashed line in the middle panel corresponds to the Sérsic fit to the F606W band of the HST ACS camera (n = 0.6 and Re = 22.6″; van Dokkum et al. 2018a).

Current usage metrics show cumulative count of Article Views (full-text article views including HTML views, PDF and ePub downloads, according to the available data) and Abstracts Views on Vision4Press platform.

Data correspond to usage on the plateform after 2015. The current usage metrics is available 48-96 hours after online publication and is updated daily on week days.

Initial download of the metrics may take a while.