Open Access
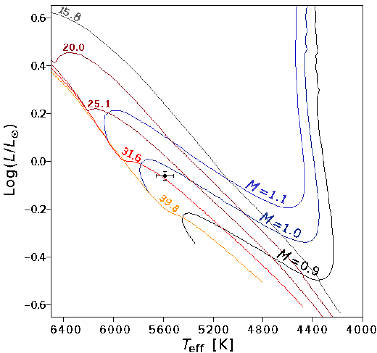
Fig. 7.

Download original image
Position of V815 Her Aa (black dot) on the HRD plotted by using the VOSA SED analyzer tool (Bayo et al. 2008). Evolutionary tracks for the Geneva model (Haemmerlé et al. 2019) indicate an age of 30 Myr for a M ≲ 1 M⊙ ZAMS star.
Current usage metrics show cumulative count of Article Views (full-text article views including HTML views, PDF and ePub downloads, according to the available data) and Abstracts Views on Vision4Press platform.
Data correspond to usage on the plateform after 2015. The current usage metrics is available 48-96 hours after online publication and is updated daily on week days.
Initial download of the metrics may take a while.