Open Access
Fig. A.2

Download original image
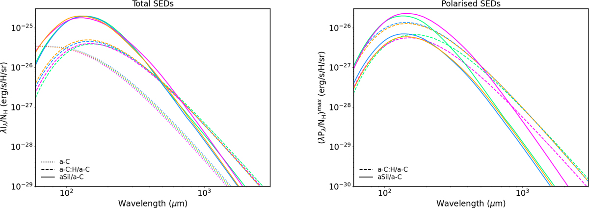
Same colour scheme as in Fig. 7. Contributions to the total and polarised SEDs of the nanometric hydrocarbons a-C shown by the dotted lines, of the a-C:H/a-C grains by the dashed lines and of the silicates by the solid lines. Left: Total SEDs of the best-fit models presented in Fig. 7. Right: Corresponding polarised SEDs.
Current usage metrics show cumulative count of Article Views (full-text article views including HTML views, PDF and ePub downloads, according to the available data) and Abstracts Views on Vision4Press platform.
Data correspond to usage on the plateform after 2015. The current usage metrics is available 48-96 hours after online publication and is updated daily on week days.
Initial download of the metrics may take a while.