Fig. 9

Download original image
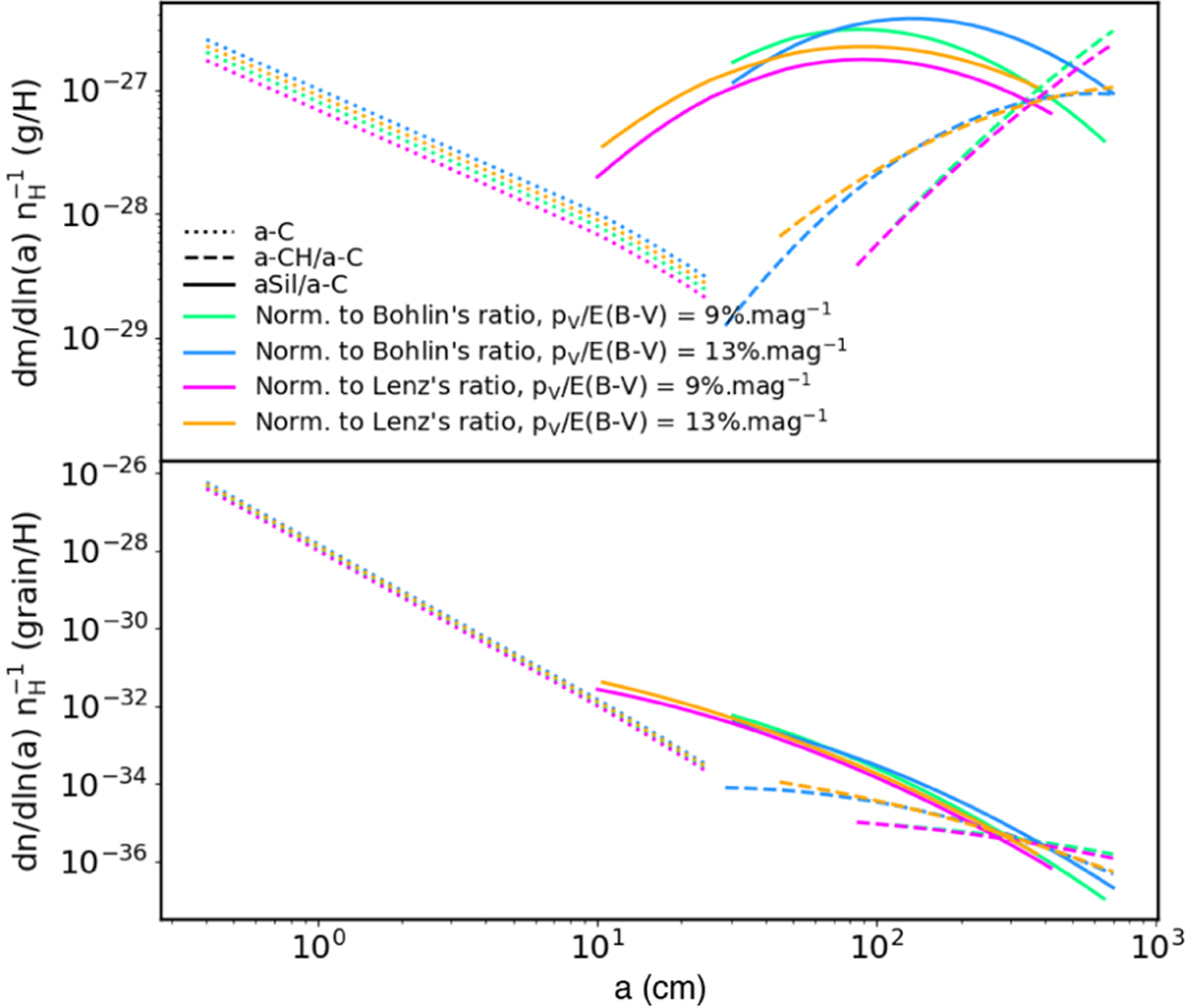
Same colour scheme as in Fig. 7. Top: grain mass distributions of the best-fit models shown in Fig. 7. Bottom: equivalent grain number distributions. In both figures, the distributions for the amorphous nano-carbon grains, a-C, are shown as dotted lines, for the a-C:H/a-C grains as dashed lines and for the aSil/a-C grains as solid lines.
Current usage metrics show cumulative count of Article Views (full-text article views including HTML views, PDF and ePub downloads, according to the available data) and Abstracts Views on Vision4Press platform.
Data correspond to usage on the plateform after 2015. The current usage metrics is available 48-96 hours after online publication and is updated daily on week days.
Initial download of the metrics may take a while.