Fig. 4.

Download original image
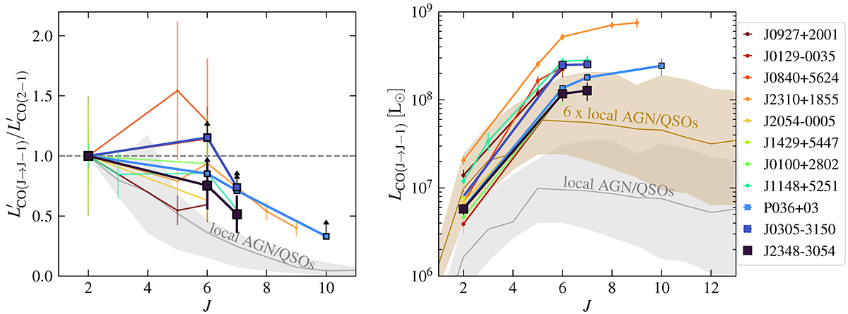
CO excitation ladders for the three z > 6.5 QSO host galaxies studied here (filled squares), compared to other z ≳ 6 QSO hosts with CO(2–1) measurements (semi-transparent lines connected by small filled circles) and local AGN and QSO hosts from Rosenberg et al. (2015) and Kamenetzky et al. (2016; grey line and shading indicating the median and 16th to 84th percentiles). The colour-coding indicates the redshift, with the legend at the right providing the name of the corresponding QSO. Left panel: CO line luminosity ratios relative to CO(2–1). Right panel: CO line luminosities in units of L⊙. Most z ≳ 6 QSO host galaxies show significantly (factor of ∼3×) higher mid-J versus CO(2–1) emission than the local AGN and QSO hosts (near/exceeding the thermalised value). The mid–J CO line emission for most z ≳ 6 QSO hosts exceeds that of the local AGN and QSO hosts by a greater factor than the CO(2–1) emission, implying that a greater fraction of these more massive molecular gas reservoirs is in more highly excited states.
Current usage metrics show cumulative count of Article Views (full-text article views including HTML views, PDF and ePub downloads, according to the available data) and Abstracts Views on Vision4Press platform.
Data correspond to usage on the plateform after 2015. The current usage metrics is available 48-96 hours after online publication and is updated daily on week days.
Initial download of the metrics may take a while.