Open Access

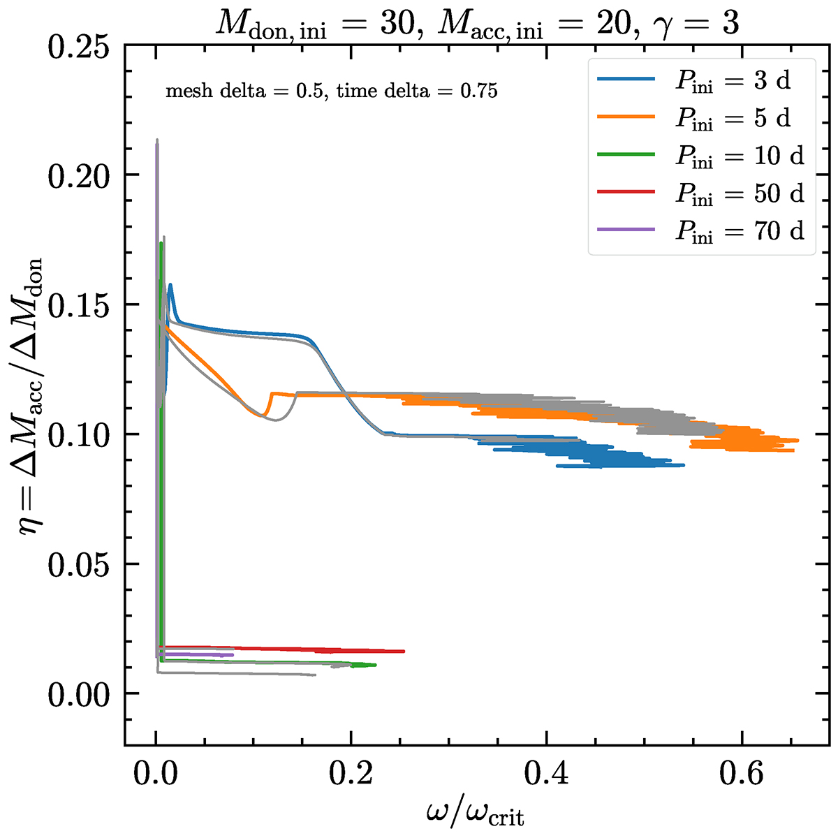
Fig. B.4.

image

Download original image

Mass transfer efficiency as a function of the angular velocity for the various initial periods of a given system (by taking into account the POSYDON tidal synchronization prescription). The gray points represent the model with the mesh_delta_coeff and time_delta_coeff equal to 1 and the "MESA default" tidal synchronization prescription.

Current usage metrics show cumulative count of Article Views (full-text article views including HTML views, PDF and ePub downloads, according to the available data) and Abstracts Views on Vision4Press platform.

Data correspond to usage on the plateform after 2015. The current usage metrics is available 48-96 hours after online publication and is updated daily on week days.

Initial download of the metrics may take a while.